Journal of Palaeogeography(Chinese Edition) ›› 2026, Vol. 28 ›› Issue (1): 318-332. doi: 10.7605/gdlxb.2026.020

• MINERAL RESOURCES AND NEW ENERGY GEOLOGY • Previous Articles     Next Articles

Numerical simulation assessment of compressed CO2 energy storage in the Cretaceous aeolian sandstone reservoir,Hengyang Basin

HUANG Leqing1,2(), LI Yi3(), CAO Chuanghua1, LUO Xian3, YU Hao3, JIANG Wen1   

  1. 1 Geological Survey Institute of Hunan Province,Changsha 410116,China
    2 Institute of Geological Survey,China University of Geosciences,Wuhan 430074,China
    3 School of Hydraulic and Environmental Engineering,Changsha University of Science and Technology,Changsha 410114,China
  • Received:2025-03-28 Revised:2025-07-06 Online:2026-02-01 Published:2026-02-09
  • Contact: LI Yi,born in 1988,PhD,research professor,is engaged in research on aquifer compressed air/CO2 technology. E-mail: liyi0217@163.com.
  • About author:

    About the first author HUANG Leqing,born in 1985,senior engineer,is engaged in research on the Cretaceous aeolian deposits and aquifer energy storage. E-mail: .

  • Supported by:
    Science and Technology Program of Geological Institution of Hunan Province(HNGSTP202322); Science and Technology Program of Geological Institution of Hunan Province(HNGSTP202529); Natural Science Foundation of Hunan Province of China(2021JJ30388)

衡阳盆地白垩系风成砂岩储集层压缩二氧化碳储能数值模拟评价*

黄乐清1,2(), 李毅3(), 曹创华1, 罗贤3, 喻浩3, 姜文1   

  1. 1 湖南省地质调查所,湖南长沙 410116
    2 中国地质大学(武汉)地质调查研究院,湖北武汉 430074
    3 长沙理工大学水利与环境工程学院,湖南长沙 410114
  • 通讯作者: 李毅,男,1988年生,教授,博士,主要从事含水层压缩空气/二氧化碳技术研究。 E-mail: liyi0217@163.com
  • 作者简介:

    黄乐清,男,1985年生,高级工程师,主要从事白垩纪风成沉积及含水层储能研究。E-mail:

  • 基金资助:
    *湖南省地质院科技计划项目(HNGSTP202322); 湖南省地质院科技计划项目(HNGSTP202529); 湖南省自然科学基金项目(2021JJ30388)

Abstract:

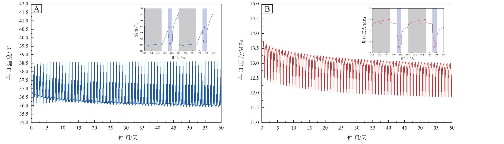
To investigate the feasibility of compressed carbon dioxide(CO2)energy storage in deep aquifers of the Hengyang Basin,this study focuses on the Honghuatao Formation sandstone reservoir within the Cretaceous paleo-desert aeolian sedimentary strata. By integrating petrological characterization experiments with site-scale numerical simulations,the carbon sequestration and energy storage potential of the reservoir were systematically evaluated. Petrographic thin-section analysis,scanning electron microscopy(SEM),and porosity-permeability tests reveal that the Honghuatao Formation sandstone is predominantly composed of medium-to fine-grained feldspathic quartz sandstone with pervasive calcareous cementation. The reservoir exhibits low porosity and permeability,characteristic of tight sandstone. The overlying mudstone caprock,with negligible porosity and stable regional distribution,forms an effective reservoir-seal combination.A three-dimensional numerical model of the compressed CO2 energy storage system was established based on experimental data. Simulation results indicate that under a reservoir permeability of 15×10-3 μm-2,60-day cyclic injection-withdrawal operations induce pressure fluctuations≤0.5 MPa,with energy round-trip efficiency exceeding 99.98%. Additionally,low-temperature CO2 injection triggers localized temperature reduction(up to 5 ℃),pore pressure accumulation(maximum 1.27 MPa),partial effective stress reduction,and significant vertical displacement in the reservoir. The study demonstrates that the Honghuatao Formation sandstone holds potential for CO2 storage and energy storage. However,its low permeability limits injection-withdrawal capacity,necessitating acidification or hydraulic fracturing modifications to enhance pore-permeability properties for scalable applications. This research provides theoretical insights into the utilization of paleo-desert aeolian sandstone for subsurface energy storage and the advancement of low-carbon energy technologies.

Key words: compressed carbon dioxide energy storage, numerical simulation, aeolian deposition, Hengyang Basin, Hunan Province

摘要:

为探究衡阳盆地深部含水层压缩二氧化碳储能的可行性,本研究以白垩纪古沙漠风成沉积地层红花套组砂岩储集层为研究对象,结合岩石学特征实验与场地尺度数值模拟,系统评价其储碳与储能潜力。通过岩石薄片、扫描电镜及孔渗测试,揭示了红花套组砂岩以中—细粒长石石英砂岩为主,钙质胶结作用强烈,砂岩储集层孔隙度和渗透率呈现低孔低渗特性。上覆泥岩盖层致密,展布稳定,形成良好储盖组合。基于实验数据,建立压缩CO2储能系统三维数值模型,模拟结果表明: 储集层渗透率为15×10-3 μm-2时,60天循环注采中压力波动范围不大于0.5 MPa,地下储气库能量效率达99.98%以上; 同时,低温CO2注入引起井周地层温度降低(降幅达5 ℃),孔隙压力积聚(最大1.27 MPa),有效应力局部降低,储集层垂向位移显著。研究表明,红花套组砂岩具备储碳与储能潜力,但储集层低渗性限制注采规模,需通过酸化或压裂改造优化孔渗性能以实现规模化应用。本研究为古沙漠风成砂岩的地下空间利用及低碳能源技术开发提供理论参考。

关键词: 压缩二氧化碳储能, 数值模拟, 风成沉积, 衡阳盆地, 湖南省

CLC Number: